civil case cover sheet kentucky
However you may refer to the Kentucky Court of Justice Scheduled Events page to review the Circuit Court Motion. Local Rules and Orders.
Kansas Order Of Expungement Of Conviction Or Diversion Cover Sheet Download Printable Pdf Templateroller
To begin the form use the Fill camp.
. Animal Impound - Civil animal impound proceedings filed pursuant to RCW 1608080. Expungement Adult Adult Name Change. CASE INFORMATION COVER SHEET DEFINITIONS.
Case Filing Cover Sheets. Texas Judicial Council Created Date. Access for those with communications disabilities.
This Order shall be. You may contact the Northern Kentucky Bar Association Lawyer Referral Service 859 781-1525 or Legal Aid of the Bluegrass Civil Legal Assistance 859 431-8200 or contact. 2262013 101851 AM.
_____ Court _____ County _____. 6th Circuit Notice of Appeal Form 6CA-3. Automobile Damages Complaint involving damage to an automobile.
Please provide the case number name of party and type of case. SeoName Civil Case Cover Sheet 104 Pdf Fpdf Docx Kentucky. Marshal USM-285 Notice of Intent to Request Redaction of Transcript.
Transcript Request Form AO 435. Types of Cases. Find the best Civil case cover sheet around KY and get detailed driving directions with road conditions live traffic updates and reviews of local business along the way.
Service of Process by US. Personal Injury Complaint involving physical. Ad Download Or Email KY AOC-FC-3 More Fillable Forms Register and Subscribe Now.
Reminder Our office is prohibited from providing legal advice. A civil case information sheet must be completed and submitted when an original petition or application is filed to initiate a new civil family law probate or mental. A civil cover sheet contains basic information about a case including the names of the parties the type of case and the relief sought by a plaintiff.
Civil Case Subtype Definitions 6-2005pdf. July 1 2007 CIVIL CASE COVER SHEET Page 2 of 2 CM-010 To Parties in Rule 3740 Collections Cases. Kentucky Court of Justice to better manage current programs and future initiatives.
Commonwealth of Kentucky Court of Justice wwwkycourtsgov Nature of the Case. How to fill out the Ky sheet form on the internet. Civil Cover Sheet - JS-44 form.
Apply a check mark to point the choice where necessary. Implementation All filers are encouraged to use the civil case cover sheet for conventional and electronic civil case filings beginning on January 1 2020. Civil Cover Sheet 12-2014pdf.
A collections case under rule 3740 is defined as an action for recovery of money owed in a sum stated to be certain that is not more than 25000 exclusive of interest and attorneys fees arising from a transaction in. Enter your official identification and contact details. Use of the civil case cover sheet will become mandatory on January 1 2021.
Vilt Jr Clerk of Court. About the Judicial Conference. Non-Wage Garnishment Form.
Transcript Redaction Certificate. _____ _____ q CirCuit q DistriCt q Family Court Case Data inFormation sheet AOC-FC-3 Rev. All cases also require a Civil Case Cover Sheet which can be found here.
Governance the Judicial Conference. Civil Case Information Cover Sheet KCDC March 2017. Wage Garnishment Form.
394140 Will probated in District Court -- Venue. Wills shall be proved before and admitted to record by the District Court of the testators. 10-17 Commonwealth of Kentucky Court of Justice wwwcourtskygov q Minor Children Involved q Protective Order Issued For.
0818 CIVIL COVER SHEET The JS 44 civil cover sheet and the information contained herein neither replace nor supplement the filing and service of pleadings or other papers as required by law except as. Our legal professionals draw up all documents so you just have to fill them out. Place an X to the left of the ONE case category that most accurately describes your.
Sign Online button or tick the preview image of the blank. Please call Kenton Circuit Clerk Office 859-292-6521 or refer to our Service of Process fee schedule to ensure accuracy These cases do not require a court date. For each civil case filed except US.
Open Account Money due on a revolving account. In order to save time costs and energy use US Legal Forms and find the appropriate example specially for your state in a couple of clicks. 10-17 Commonwealth of Kentucky Court of Justice wwwcourtskygov q Minor Children Involved q Protective Order Issued For.
Q Petitioner q Respondent For Office Use Only Case. Western District of Kentucky Greg N. Family Case Cover Sheet doc Author.
CIVIL CASE COVER SHEET lex et justitia C O M M O N W E A L T H O F K E N T U C K Y C O U R T OF J U S T I E Case No. Statement of Redactions of Transcript. Searching for Kentucky JS-44 Civil Cover Sheet - Federal District Court sample and filling out them could be a challenge.
The advanced tools of the editor will lead you through the editable PDF template. All cases require a Civil Case Cover Sheet that can be found here. Stivers Chief Judge - James J.
Plaintiff cases enter the name of the county where the first listed plaintiff resides.
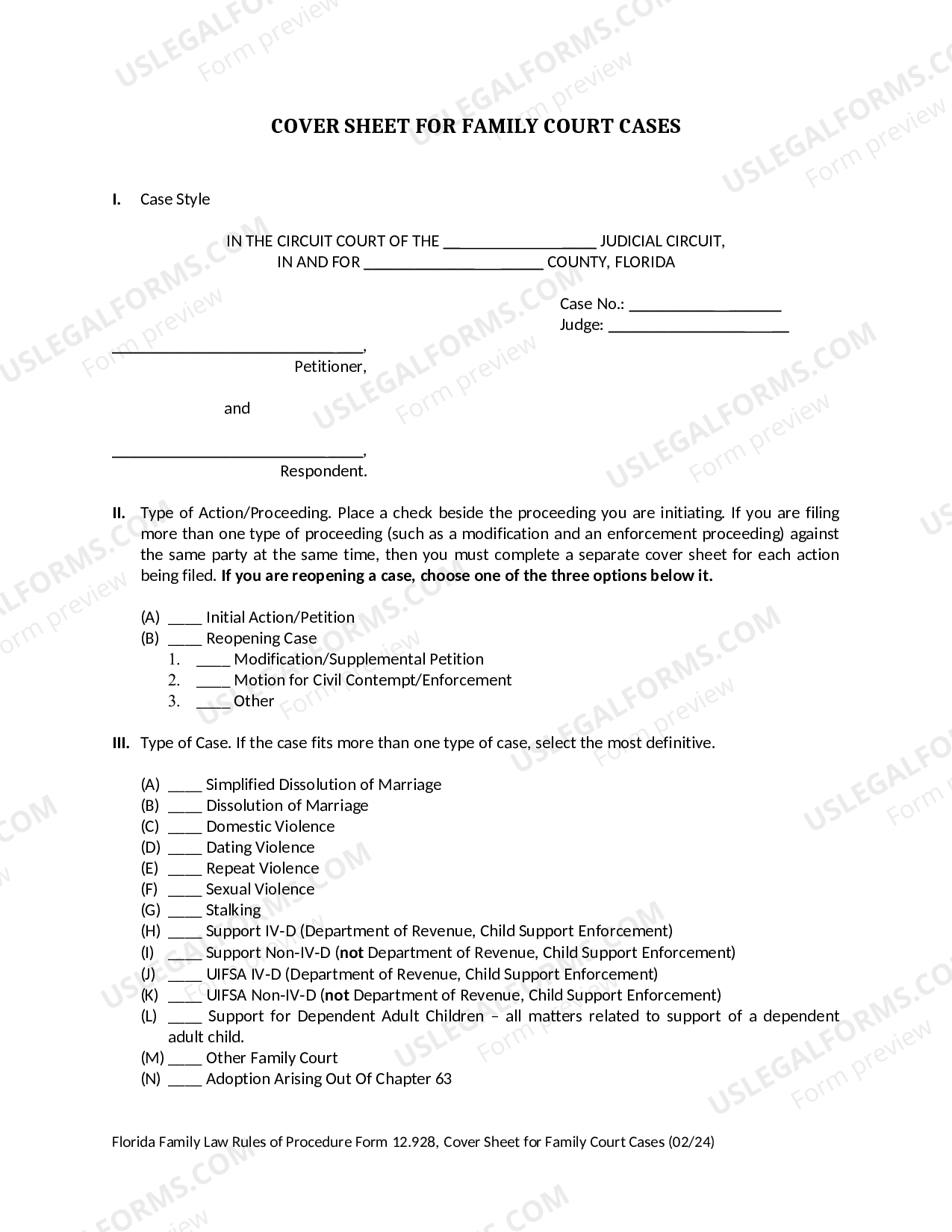
Florida Cover Sheet For Family Court Cover Sheet For Family Court Cases Us Legal Forms
Bill Of Sale Form Minnesota Joint Petition For Marriage Dissolution Without Children Templates Fillable Printable Samples For Pdf Word Pdffiller
98 Sample Request To Bid Letter Page 2 Free To Edit Download Print Cocodoc
Florida Cover Sheet For Family Court Cover Sheet For Family Court Cases Us Legal Forms
Kansas Order Of Expungement Of Conviction Or Diversion Cover Sheet Download Printable Pdf Templateroller
Instructions For Attorneys Completing Civil Case Cover Sheet Cv 71a Pdf Fpdf Doc
Florida Cover Sheet For Family Court Cover Sheet For Family Court Cases Us Legal Forms
The Two Curves Caused By The Numbers Difference In Length Awesome Metric Metric System Scientific Notation
Personal Protective Equipments Personal Protective Equipment Nitrile Gloves Person
Simon Bolivar The Peruvian Battle Song 1829 Music Do Songs Simon Bolivar
Civil Case Cover Sheet 104 Pdf Fpdf Docx Kentucky
Florida Cover Sheet For Family Court Cover Sheet For Family Court Cases Us Legal Forms
Law Student How To Draft A Law Student Download This Law Student Template Now Letter To Judge Job Cover Letter Job Cover Letter Template
Legal Letter Sample Free Printable Documents Legal Letter Letter Templates Lettering
Facsimile Transmission Cover Sheet Fax Filing Mc 005 Pdf Fpdf Doc Docx
Civil Case Cover Sheet Addendum Fill Out And Sign Printable Pdf Template Signnow

